- 
                                    
                                         قیمت: 48٬000 تومان - دسته بندی فایل: علوم پایه قیمت: 48٬000 تومان - دسته بندی فایل: علوم پایهپاورپوینت کامل فصل 5 مساحت و محیط ریاضی سوم دبستانفروش ویژه پاورپوینت کامل فصل 5 مساحت و محیط ریاضی سوم دبستان با تخفیف استثنایی فقط 124 هزار و 800 تومان تعداد اسلاید: 45 اسلاید 
- 
                                    
                                         قیمت: 69٬000 تومان - دسته بندی فایل: علوم پایه قیمت: 69٬000 تومان - دسته بندی فایل: علوم پایهحل المسائل ریاضی توماس ویرایش 14فروش ویژه حل المسائل ریاضی توماس ویرایش 14 با تخفیف استثنایی فقط 39 هزار تومان 
- 
                                    
                                         قیمت: 32٬000 تومان - دسته بندی فایل: علوم پایه قیمت: 32٬000 تومان - دسته بندی فایل: علوم پایهپاورپوینت زاویه و نیمساز ریاضی پنجم دبستانفروش ویژه پاورپوینت حرفه ای زاویه و نیمساز ریاضی پنجم دبستان با تخفیف استثنایی فقط 53 هزار و 908 تومان تعداد اسلاید: 17 اسلاید 
- 
                                    
                                         قیمت: 22٬000 تومان - دسته بندی فایل: علوم پایه قیمت: 22٬000 تومان - دسته بندی فایل: علوم پایهماشین ورودی و خروجی درس 3 فصل 1 ریاضی چهارم دبستان (ppt) 15 اسلایدفروش ویژه پاورپوینت حرفه ای ماشین ورودی و خروجی درس 3 فصل 1 ریاضی چهارم دبستان با تخفیف استثنایی فقط 36 هزار تومان تعداد اسلاید: 15 اسلاید 
- 
                                    
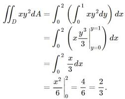
                                         قیمت: 96٬000 تومان - دسته بندی فایل: علوم پایه قیمت: 96٬000 تومان - دسته بندی فایل: علوم پایهپاورپوینت جامع با عنوان انتگرال های دوگانه و سه گانه 148 اسلایدپاورپوینت جامع با عنوان انتگرال های دوگانه و سه گانه 148 اسلاید - {\displaystyle \iint f(x,y)\ dx\,dy} انتگرال سه گانه: معرف پارالل زیر نمودار (می توان آن را نوعی حجم ضرب در زمان گرفت) است مثلا 
- 
                                    
                                         قیمت: 69٬000 تومان - دسته بندی فایل: علوم پایه قیمت: 69٬000 تومان - دسته بندی فایل: علوم پایهحل المسائل کامل کنترل کیفیت آماری مونتگمریفروش ویژه فایل حل المسائل کنترل کیفیت آماری مونتگمری با تخفیف استثنایی - دسته بندی : پی دی اف نوع فایل : PDF ( غیر قابل ویرایش و آماده پرینت ) تعداد صفحات : 1300 صفحه 
- 
                                    
                                         قیمت: 22٬000 تومان - دسته بندی فایل: علوم پایه قیمت: 22٬000 تومان - دسته بندی فایل: علوم پایهپاورپوینت فصل چهارم ریاضی پایه نهم توان و ریشهفروش ویژه پاورپوینت حرفه ای فصل چهارم ریاضی پایه نهم توان و ریشه با تخفیف استثنایی فقط 101 هزار تومان تعداد اسلاید: 12 اسلاید 
- 
                                    
                                         قیمت: 22٬000 تومان - دسته بندی فایل: علوم پایه قیمت: 22٬000 تومان - دسته بندی فایل: علوم پایهپاورپوینت زاویه های محاطی ریاضی هشتمفروش ویژه پاورپوینت حرفه ای زاویه های محاطی ریاضی هشتم با تخفیف استثنایی فقط 48 هزار و 681 تومان تعداد اسلاید: 14 اسلاید 
- 
                                    
                                         قیمت: 32٬000 تومان - دسته بندی فایل: علوم پایه قیمت: 32٬000 تومان - دسته بندی فایل: علوم پایهپاورپوینت درس 14 تم 14 ریاضی اول ابتداییفروش ویژه پاورپوینت درس 14 تم 14 ریاضی اول ابتدایی با تخفیف استثنایی فقط 42 هزار تومان تعداد اسلاید: 28 اسلاید 
- 
                                    
                                         قیمت: 32٬000 تومان - دسته بندی فایل: علوم پایه قیمت: 32٬000 تومان - دسته بندی فایل: علوم پایهپاورپوینت تم 20 ریاضی اول ابتداییفروش ویژه پاورپوینت تم 20 ریاضی اول ابتدایی با تخفیف استثنایی فقط 57 هزار و 718 تومان تعداد اسلاید: 24 اسلاید 
- 
                                    
                                         قیمت: 73٬000 تومان - دسته بندی فایل: علوم پایه قیمت: 73٬000 تومان - دسته بندی فایل: علوم پایهپروپوزال حسابداری ارتباط ضریب واکنش سود و کیفیت حسابرسیفروش ویژه پروپوزال حسابداری ارتباط ضریب واکنش سود و کیفیت حسابرسی با قیمت استثنایی 74 هزارتومان تعداد صفحات 31 صفحه 
- 
                                    
                                         قیمت: 76٬000 تومان - دسته بندی فایل: علوم پایه قیمت: 76٬000 تومان - دسته بندی فایل: علوم پایهپروپوزال حسابداری رابطه ریسک شرکت و نوسانات سودفروش ویژه پروپوزال حسابداری رابطه ریسک شرکت و نوسانات سود با قیمت استثنایی 64 هزارتومان تعداد صفحات 52 صفحه 
- 
                                    
                                         قیمت: 22٬000 تومان - دسته بندی فایل: علوم پایه قیمت: 22٬000 تومان - دسته بندی فایل: علوم پایهپاورپوینت زاویه های داخلی ریاضی پایه هشتمپاورپوینت جذاب، قابل ویرایش و منطبق با کتب درسی تعداد اسلاید: 13 مناسب برای معلمان جهت تدریس بهتر و دانش آموزان برای یادگیری بهتر ... 
- 
                                    
                                         قیمت: 46٬000 تومان - دسته بندی فایل: علوم پایه قیمت: 46٬000 تومان - دسته بندی فایل: علوم پایهریاضی ششم تیزهوشان یکفروش ویژه ریاضی ششم تیزهوشان یک با تخفیف استثنائی فقط 39000 هزار تومان 
- 
                                    
                                         قیمت: 77٬000 تومان - دسته بندی فایل: علوم پایه قیمت: 77٬000 تومان - دسته بندی فایل: علوم پایهاموزش ازمون فرض فازی , اموزش تکنیک ازمون فرض فازیفروش ویژه اموزش ازمون فرض فازی , اموزش تکنیک ازمون فرض فازی با تخفیف استثنائی فقط 116000 هزار تومان تعداد صفحات : 23 صفحه 
- 
                                    
                                         قیمت: 32٬000 تومان - دسته بندی فایل: علوم پایه قیمت: 32٬000 تومان - دسته بندی فایل: علوم پایهپاورپوینت ارزیابی روش رگرسیون در پیشبینی حجم ترافیک و مقایسه آن با روش شبکه عصبیفروش ویژه پاورپوینت ارزیابی روش رگرسیون در پیشبینی حجم ترافیک و مقایسه آن با روش شبکه عصبی با تخفیف استثنائی فقط 66000 هزار تومان تعداد اسلاید : 16 اسلاید 
- 
                                    
                                         قیمت: 22٬000 تومان - دسته بندی فایل: علوم پایه قیمت: 22٬000 تومان - دسته بندی فایل: علوم پایهپاورپوینت حجم های هندسی (فصل ششم سال هفتم)فروش ویژه پاور پوینت حرفه ای حجم های هندسی (فصل ششم سال هفتم) با تخفیف استثنایی فقط 33 هزار تومان تعداد اسلاید: 11 اسلاید 
- 
                                    
                                         قیمت: 22٬000 تومان - دسته بندی فایل: علوم پایه قیمت: 22٬000 تومان - دسته بندی فایل: علوم پایهپاورپوینت ریاضی ششم ابتدایی جمع و تفریق و ضرب اعداد اعشاریپاورپوینت ریاضی ششم ابتدایی جمع و تفریق و ضرب اعداد اعشاری /دسته بندی : پاورپوینت نوع فایل : powerpoint (..ppt) ( قابل ویرایش و آماده پرینت ) تعداد اسلاید : 4 اسلاید 
- 
                                    
                                         قیمت: 22٬000 تومان - دسته بندی فایل: علوم پایه قیمت: 22٬000 تومان - دسته بندی فایل: علوم پایهپاورپوینت آموزش مفهوم تقسیمفروش ویژه پاور پوینت حرفه ای آموزش مفهوم تقسیم با تخفیف استثنایی فقط 49 هزار تومان تعداد اسلاید: 12 اسلاید 
- 
                                    
                                         قیمت: 46٬000 تومان - دسته بندی فایل: علوم پایه قیمت: 46٬000 تومان - دسته بندی فایل: علوم پایهریاضی پنجم ابتدایی تفریق عددهای اعشاریفروش ویژه پاورپوینت حرفه ای ریاضی پنجم ابتدایی تفریق عددهای اعشاری با تخفیف استثنایی فقط 16 هزار تومان تعداد اسلاید: 4 
 
                     
                         
                        