صفحه محصول - جزوه ریاضیات مهندسی - 121 صفحه -pdf


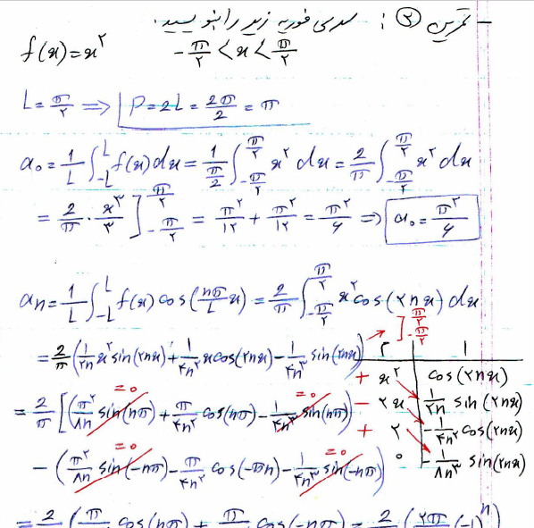
سریهای فوریه
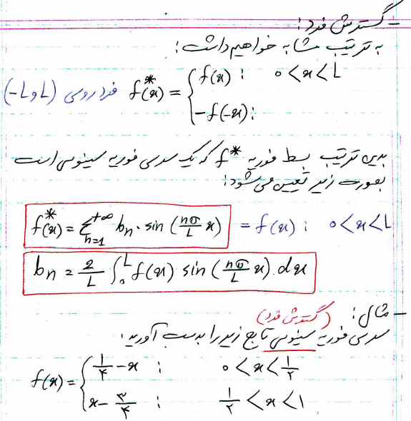
گسترش زوج و فرد
صورت مختلط سری فوریه
اعداد و توابع مختلط
شکل نمایش قطبی اعداد مختلط
معادله اویلر
ضرب و تقسیم قطبی
توان اعداد مختلط با استفاده از نمایش قطبی
ریشه های n ام اعداد مختلط
حد و پیوستگی توابع مختلط
مشتق توابع مختلط
شرایط کوشی ریمن
شرایط کوشی ریمن در مختصات قطبی
تابع تحلیلی
تعیین ریشه های توابع
تابع هذلولی
تابع لگاریتم
تابع توان
تابع ریشه
تصویر ( نگاشت )
نگاشت خطی
نگاشت عکس
نگاشت دو خطی ( موبیوس )
انتگرال مختلط
انواع خم
دو ناحیه همبند
قضیه انتگرال کوشی
کران انتگرال
دنباله ها و سریهای مختلط
سری توابع
آزمون نسبت
سری توانی مختلط
بسط تیلور توابع مختلط
برای بازکردن فایل نیاز به نرم افزارهای زیر دارید :RARZIP
pdf

فایل های دیگر این دسته

مجوزها،گواهینامه ها و بانکهای همکار

فایل‌ها دارای نماد اعتماد الکترونیک از وزارت صنعت و همچنین دارای قرارداد پرداختهای اینترنتی با شرکتهای بزرگ به پرداخت ملت و زرین پال و آقای پرداخت میباشد که در زیـر میـتوانید مجـوزها را مشاهده کنید