صفحه محصول - جزوه سیستمهای کنترل خطی - 115 صفحه -pdf


تقسیم بندی سیستمها ازنظر ورودی و خروجی
تقسیم بندی سیستمها ازنظر خطی و غیرخطی
تابع تبدیل و ویژگیهای آن
سیستمهای کنترلی حلقه باز
سیستمهای کنترلی حلقه بسته
فیدبک مثبت و منفی و خواص آنها
ساده سازی بلوک دیاگرام
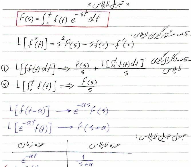
تبدیلات لاپلاس
سیگنال فلوگراف
فلوگراف سری و موازی
فلوگراف فیدبک
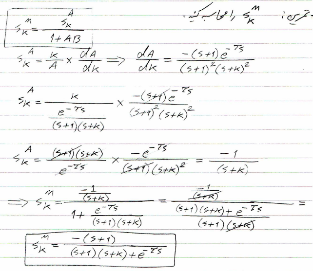
روش میسون در محاسبه تابع تبدیل
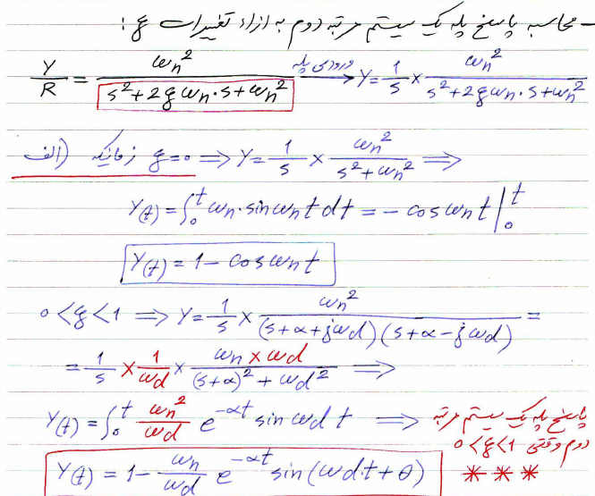
تحلیل زمانی سیستمها
خطای حالت ماندگار
سیستم مرتبه دوم
رسم نمودارها
زمان نشست و زمان صعود
انواع کنترل کننده ها ( مشتق گیر، انتگرال گیر،تناسبی )
تیپ سیستم
پایداری سیستمهای کنترل خطی
تحلیل پاسخ فرکانسی
نمودار قطبی - نایکویست
حد بهره - حاشیه بهره
سیستم می نیمم فاز
سیستم غیر می نیمم فاز
تعریف حدفاز
دیاگرام بود
مکان هندسی ریشه ها
مراحل مختلف رسم ریشه ها
محاسبه نقطه شکست
زاویه ترک قطب و زاویه ورود به صفر
جبران سازها
کنترل کننده ها
و دهها مثال و تمرین وسوال امتحانی حل شده
برای بازکردن فایل نیاز به نرم افزارهای زیر دارید :RARZIP
pdf

فایل های دیگر این دسته

مجوزها،گواهینامه ها و بانکهای همکار

فایل‌ها دارای نماد اعتماد الکترونیک از وزارت صنعت و همچنین دارای قرارداد پرداختهای اینترنتی با شرکتهای بزرگ به پرداخت ملت و زرین پال و آقای پرداخت میباشد که در زیـر میـتوانید مجـوزها را مشاهده کنید