صفحه محصول - جزوه ماشین الکتریکی 3 - 70 صفحه - pdf

ماشین (موتور) الکتریکی (به انگلیسی: Electric machine )یک نام کلی برای دستگاهی است که انرژی مکانیکی را به انرژی الکتریکی یا برعکس تبدیل می کند یا سطح ولتاژ جریان متناوب را به سطح دیگری از ولتاژ تغییر می دهد. ژنراتورها انرژی مکانیکی را به انرژی الکتریکی تبدیل می کنند.


فرمت فایل : pdf

تعداد صفحات : 7 صفجه


توضیحات فایل :

جزوه فوق توانایی پاسخ به اکثر خواسته های درسی شما درامتحانات پایان ترم وکنکور مقاطع بالاتر را خواهد داشت وشامل:
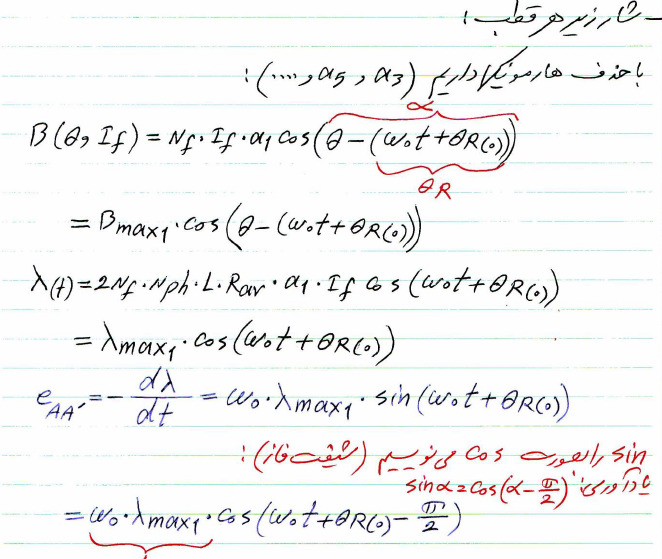
معرفی ژنراتور سنکرون
ولتاژسازی در حالت بی باری
عملکرد دمپر در روتور
محاسبه ولتاژ القایی
گام کسری - کوتاه شده
شار زیر هر قطب
ضریب کوتاهی گام
ضریب توزیع سیم پیچی
حذف هارمونیکها
اثر کوتاهی گام بر روی هارمونیک
اثر جریان سیم پیچ استاتور
رسم برداری - فیزوری در حالت پس فاز
رسم برداری - فیزوری در حالت پیش فاز
توان در ژنراتور سنکرون
معیار سطوح برابر
سنکرون کردن ژنراتورها
بررسی تحریک اضافی و نقصانی
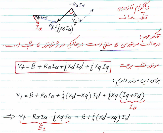
بررسی ماشین قطب برجسته
رسم دیاگرام برداری قطب برجسته
توان در ماشین قطب برجسته
معرفی موتور سنکرون
روشهای راه اندازی موتور سنکرون
رسم دیاگرام فیزوری موتور سنکرون





برای بازکردن فایل نیاز به نرم افزارهای زیر دارید :RARZIP
pdf

فایل های دیگر این دسته

مجوزها،گواهینامه ها و بانکهای همکار

فایل‌ها دارای نماد اعتماد الکترونیک از وزارت صنعت و همچنین دارای قرارداد پرداختهای اینترنتی با شرکتهای بزرگ به پرداخت ملت و زرین پال و آقای پرداخت میباشد که در زیـر میـتوانید مجـوزها را مشاهده کنید